Hà Nội: Danh sách hơn 300 chủ phương tiện sau cần nhanh chóng nộp phạt nguội theo Nghị định 168
Mới đây, Phòng Cảnh sát giao thông (CSGT) Công an TP. Hà Nội vừa công bố danh sách 342 phương tiện vi phạm giao thông bị phạt nguội được hệ thống camera AI giám sát tự động ghi hình và gửi thông báo đến chủ xe để xử lý vi phạm theo Nghị định 168/2024/NĐ-CP của Chính phủ.
Trong đó, có 82 ô tô và 260 xe mô tô, xe gắn máy vi phạm các lỗi phổ biến như vượt đèn đỏ, đi sai làn đường, không đội mũ bảo hiểm và một số lỗi khác. Hệ thống camera AI tại nhiều tuyến đường trọng điểm của Hà Nội đã phát hiện và tự động ghi lại hình ảnh vi phạm, sau đó chuyển về trung tâm điều khiển để CSGT xác minh, lập hồ sơ xử lý. Sau khi xác định chủ phương tiện, CSGT gửi thông báo vi phạm đến địa chỉ đăng ký của chủ xe yêu cầu liên hệ để nộp phạt theo Nghị định 168.
Việc công khai danh sách và tiến hành xử lý vi phạm qua hình thức phạt nguội thể hiện nỗ lực hiện đại hóa công tác tuần tra, kiểm soát giao thông, đồng thời nâng cao ý thức chấp hành pháp luật của người tham gia giao thông mà không cần lực lượng chức năng trực tiếp dừng phương tiện trên đường.
Danh sách chi tiết các phương tiện bị phạt nguội
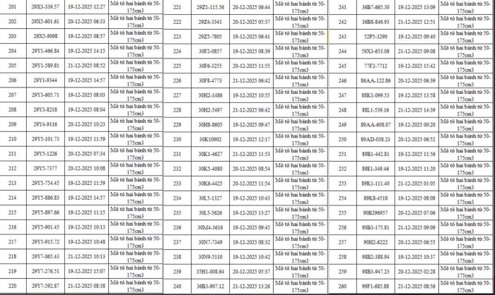
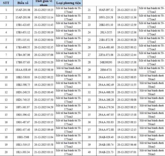
Danh sách phạt nguội ô tô

.jpg)
Danh sách phạt nguội mô tô, xe máy
.jpg)




Các lỗi vi phạm phổ biến và mức phạt theo Nghị định 168
Theo Nghị định 168/2024/NĐ-CP, nhiều hành vi vi phạm giao thông hiện được quy định mức phạt cụ thể như sau:
-
Vượt đèn đỏ: xe máy có thể bị phạt 4.000.000 – 6.000.000 đồng (gây tai nạn có thể lên tới 10.000.000 – 14.000.000 đồng) và trừ điểm giấy phép lái xe nếu có; ô tô có thể bị phạt 18.000.000 – 20.000.000 đồng (gây tai nạn tăng lên 20.000.000 – 22.000.000 đồng) và bị trừ điểm GPLX.
-
Đi sai làn đường: xe máy bị phạt 600.000 – 800.000 đồng; ô tô mức phạt tương ứng cao hơn nếu gây tai nạn.
-
Không đội mũ bảo hiểm (đối với xe máy): phạt 400.000 – 600.000 đồng cho cả người lái và người ngồi sau không đội hoặc đội không đúng quy cách.
-
Chạy quá tốc độ: tùy mức vượt quy định, phạt từ 400.000 đồng đến 8.000.000 đồng hoặc hơn và có thể bị trừ điểm bằng lái.
Lưu ý: trên đây là mức phạt tham khảo theo quy định chung của Nghị định 168, mỗi trường hợp vi phạm cụ thể sẽ áp dụng mức phạt theo đúng hành vi được ghi nhận.
Cách tra cứu và nộp phạt nguội
Người dân có thể tra cứu thông tin phương tiện vi phạm “phạt nguội” qua một số kênh chính thức như:
-
Website tra cứu phạt nguội của Cục CSGT, nhập biển số để kiểm tra lỗi và mức phạt.
-
Ứng dụng giao thông như VNeTraffic (nếu có hỗ trợ).
Sau khi tra cứu, người vi phạm có thể thực hiện nộp phạt trực tuyến qua Cổng Dịch vụ công Quốc gia/Bộ Công an hoặc liên hệ trực tiếp CSGT tại nơi đăng ký để hoàn tất thủ tục xử lý.