Đời sống

Hà Nội: Danh sách 545 chủ biển số xe sau cần nhanh chóng nộp phạt nguội theo Nghị định 168

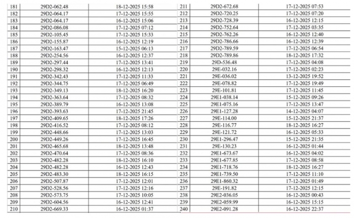
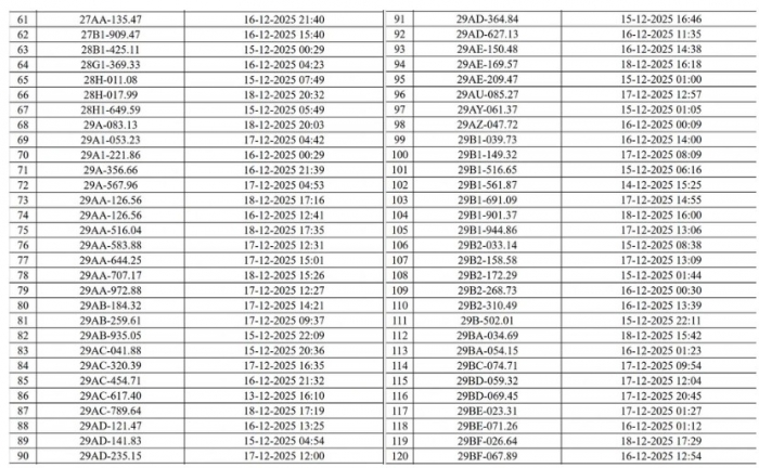
Công an Thành phố Hà Nội vừa chính thức công bố danh sách 545 chủ phương tiện gồm cả ô tô và mô tô có hành vi vi phạm trật tự an toàn giao thông (TTATGT) được hệ thống camera giám sát thông minh ứng dụng trí tuệ nhân tạo (AI) ghi nhận và gửi thông báo xử lý phạt nguội theo Nghị định 168/2024/NĐ-CP. 

Theo đó, từ khi Trung tâm điều khiển giao thông ứng dụng AI chính thức đi vào hoạt động từ ngày 13/12/2025, hệ thống camera AI với hơn 1.800 thiết bị lắp đặt tại các nút giao thông trọng điểm đã phát hiện, ghi hình và tự động phân tích các hành vi vi phạm như vượt đèn đỏ, không đội mũ bảo hiểm, đi sai làn đường và các lỗi khác. Trong chỉ ba ngày đầu vận hành, hệ thống đã phát hiện gần 400 trường hợp vi phạm tại nhiều tuyến đường lớn của Thủ đô. 

Danh sách 545 phương tiện vi phạm (đợt 1) được Phòng Cảnh sát giao thông – Công an TP Hà Nội tổng hợp và gửi cho các chủ phương tiện để thực hiện nộp phạt nguội theo quy định. Việc xử lý phạt nguội diễn ra dựa trên hình ảnh, thời gian, vị trí và lỗi vi phạm được camera AI ghi nhận chính xác, làm cơ sở pháp lý để xử lý vi phạm trên môi trường điện tử. 

Đối với người dân cư trú tại Hà Nội, có thể tra cứu và nộp phạt nguội thông qua nhiều kênh như ứng dụng VNeTraffic, trang thông tin điện tử của Cục Cảnh sát Giao thông – Bộ Công an, hoặc trực tiếp tại 14 điểm tiếp nhận xử lý vụ việc vi phạm hành chính do Phòng Cảnh sát giao thông bố trí nhằm hỗ trợ người dân giải quyết thủ tục. 

Việc đưa hệ thống camera AI vào giám sát và xử lý vi phạm được đánh giá là bước tiến trong công tác quản lý giao thông đô thị, góp phần nâng cao hiệu quả công tác răn đe, giảm ùn tắc và nâng cao ý thức tuân thủ pháp luật của người tham gia giao thông. Kết quả ban đầu cũng cho thấy, sau khi áp dụng camera AI, các lỗi như vượt đèn đỏ và không đội mũ bảo hiểm đã giảm tại nhiều điểm nóng giao thông. 

Để tránh các trường hợp xử lý vi phạm hành chính về sau, người dân nên chủ động tra cứu tình trạng phương tiện, kiểm tra lỗi vi phạm và hoàn tất thủ tục nộp phạt nguội đúng thời hạn theo quy định của pháp luật. Việc nộp phạt muộn có thể ảnh hưởng đến quyền lợi của chủ phương tiện, đặc biệt khi thực hiện các thủ tục hành chính liên quan đến phương tiện như sang tên, đổi biển số hay làm mới giấy phép lái xe.