Ngày cuối kỳ nghỉ Tết, hàng loạt trường hợp vi phạm giao thông Tết đã bị phát hiện qua hệ thống camera AI giao thông. Cục Cảnh sát giao thông cho biết nhiều chủ phương tiện nhanh chóng chấp hành phạt nguội theo Nghị định 168, cho thấy hiệu quả rõ rệt của mô hình giám sát hiện đại.
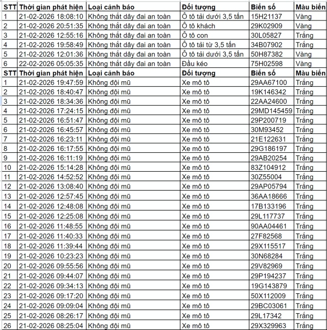
Theo thông tin từ Cục Cảnh sát giao thông, trong khoảng thời gian từ 12h ngày 21/2/2026 đến 12h ngày 22/2/2026, hệ thống camera A.I đặt tại km 20 tuyến cao tốc Nội Bài – Lào Cai đã ghi nhận 30.747 lượt phương tiện lưu thông. Tốc độ trung bình của các xe qua khu vực này đạt khoảng 78 km/h. Qua phân tích dữ liệu, lực lượng chức năng phát hiện 6 trường hợp người ngồi trên xe không thắt dây an toàn và không ghi nhận trường hợp vi phạm tốc độ. Các chủ phương tiện liên quan đã được thông báo để xử lý theo quy định hiện hành.
Tại khu vực nội đô Hà Nội, thông qua dữ liệu trích xuất từ hệ thống camera A.I thí điểm lắp đặt tại nút giao Phạm Văn Bạch – Hoàng Quán Chi, cơ quan chức năng tiếp tục phát hiện nhiều hành vi vi phạm trật tự an toàn giao thông. Cụ thể, hệ thống tự động ghi nhận 15 trường hợp người điều khiển mô tô, xe gắn máy không đội mũ bảo hiểm và 89 trường hợp không chấp hành tín hiệu đèn giao thông, vượt đèn đỏ.
Toàn bộ các trường hợp vi phạm đã được chuyển đến Công an TP Hà Nội cùng các đơn vị liên quan để hoàn thiện hồ sơ, thực hiện quy trình xử lý theo quy định pháp luật.
Danh sách cụ thể như sau:
Xe máy vượt đèn đỏ. Ảnh: Cục Cảnh sát giao thông
Từ tháng 11/2025, lãnh đạo Công an TP Hà Nội cho biết đơn vị đã triển khai đề án lắp đặt hệ thống camera ứng dụng trí tuệ nhân tạo (AI) nhằm hiện đại hóa công tác quản lý, điều hành giao thông. Đến khoảng tháng 12/2025, hệ thống cơ bản hoàn thiện và chính thức đưa vào vận hành với tổng số 1.873 camera AI, từng bước thay thế phương thức điều tiết thủ công của lực lượng Cảnh sát giao thông tại một số nút giao, điều khiển phương tiện theo lưu lượng thực tế.
Theo đánh giá, việc đưa vào sử dụng hệ thống mới góp phần khắc phục những hạn chế của hạ tầng công nghệ cũ, vốn được cho là chưa đáp ứng kịp tốc độ gia tăng phương tiện, gây áp lực lớn lên giao thông Thủ đô.
Hệ thống camera AI được trang bị nhiều tính năng hiện đại như khả năng quay quét 360 độ, nhận diện vật thể, hiện tượng và đối tượng trong phạm vi từ 500–700m, vận hành ổn định trong nhiều điều kiện thời tiết khác nhau. Các thiết bị được lắp đặt tại những tuyến đường, nút giao trọng điểm, khu vực trung tâm và cửa ngõ ra vào thành phố, phục vụ công tác giám sát giao thông, đảm bảo an ninh, trật tự đô thị.
Điểm đáng chú ý là công nghệ xử lý, phân tích hình ảnh được thực hiện trực tiếp tại camera (xử lý biên), cho phép phát hiện nhanh các hành vi vi phạm giao thông cũng như dấu hiệu liên quan đến an ninh trật tự. Dữ liệu sau đó được truyền về trung tâm để đối chiếu với hệ thống cơ sở dữ liệu dùng chung. Giải pháp này giúp nâng cao độ chính xác, giảm tải cho máy chủ trung tâm và tạo điều kiện mở rộng quy mô hệ thống trong tương lai.
Bên cạnh đó, toàn bộ 1.873 camera AI còn được tích hợp chức năng tự động đo đếm lưu lượng phương tiện tại các nút giao, truyền dữ liệu theo thời gian thực để điều chỉnh chu kỳ đèn tín hiệu phù hợp. Qua đó, hệ thống góp phần giảm ùn tắc, rút ngắn thời gian chờ đèn đỏ và nâng cao hiệu quả điều hành giao thông theo hướng thông minh, linh hoạt.
Để tra cứu thông tin vi phạm, người dân có thể truy cập website chính thức của Cục Cảnh sát giao thông, nhập biển số xe, loại phương tiện và mã xác thực để kiểm tra. Ngoài ra, ứng dụng VNeTraffic do Bộ Công an quản lý cũng cho phép người dùng đăng nhập bằng căn cước công dân gắn chip hoặc số điện thoại, tra cứu vi phạm và gửi phản ánh trực tiếp đến cơ quan chức năng.