Hơn 300 trăm xe dính phạt nguội chỉ trong 1 tuần: Chủ phương tiện chậm trễ có thể chịu 'phạt kép'
Lực lượng CSGT vừa công bố danh sách 322 phương tiện vi phạm giao thông bị xử phạt nguội trong khoảng thời gian từ 24/3 đến 30/3/2026. Người dân cần nhanh chóng kiểm tra và chấp hành nộp phạt theo quy định tại Nghị định 168 để tránh phát sinh thêm các rủi ro pháp lý.
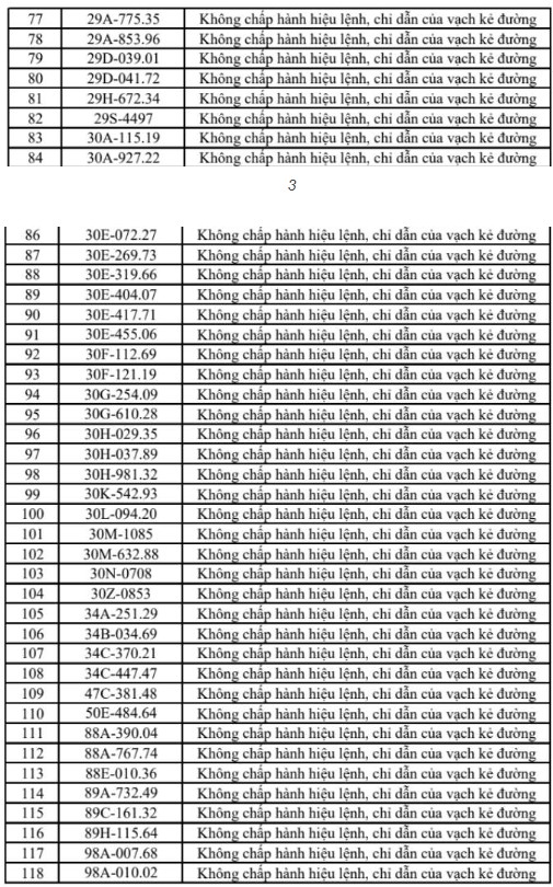
Phòng Cảnh sát giao thông Công an tỉnh Bắc Ninh đã chính thức công bố danh sách 322 phương tiện gồm cả ô tô và xe máy vi phạm trật tự an toàn giao thông, được ghi nhận qua hệ thống camera giám sát trong tuần từ ngày 24/3 đến 30/3/2026. Đây là các trường hợp bị xử lý theo hình thức phạt nguội, với hình ảnh và dữ liệu vi phạm đã được lưu trữ đầy đủ.
Theo cơ quan chức năng, các lỗi vi phạm chủ yếu bao gồm vượt đèn đỏ, chạy quá tốc độ, đi sai làn đường, dừng đỗ không đúng quy định và không chấp hành hiệu lệnh giao thông. Danh sách biển số các phương tiện vi phạm được đăng tải công khai dưới dạng hình ảnh để người dân tra cứu, đồng thời yêu cầu các chủ phương tiện liên quan sớm đến làm việc và nộp phạt.
Danh sách vi phạm









Cơ quan CSGT khuyến cáo, người vi phạm cần chủ động liên hệ để giải quyết trong thời gian sớm nhất. Trường hợp chậm trễ hoặc không chấp hành, phương tiện có thể bị đưa vào danh sách cảnh báo, dẫn đến việc bị từ chối đăng kiểm, gây khó khăn khi thực hiện các thủ tục hành chính như sang tên, đổi chủ hoặc đăng ký lại xe.
Theo quy định tại Nghị định 168 về xử phạt vi phạm giao thông đường bộ, mức phạt đối với các lỗi phổ biến được áp dụng khá nghiêm khắc. Cụ thể, hành vi vượt đèn đỏ có thể bị phạt từ 4 đến 6 triệu đồng đối với ô tô và từ 800.000 đến 1 triệu đồng đối với xe máy; lỗi chạy quá tốc độ tùy mức độ có thể bị phạt từ 800.000 đồng đến 12 triệu đồng, thậm chí bị tước giấy phép lái xe từ 1 đến 3 tháng. Đối với hành vi đi sai làn đường, mức phạt dao động từ 400.000 đồng đến 6 triệu đồng, tùy theo loại phương tiện và mức độ vi phạm.
Ngoài ra, một số lỗi nghiêm trọng hoặc tái phạm nhiều lần có thể bị áp dụng hình thức xử phạt bổ sung như tước quyền sử dụng giấy phép lái xe hoặc tạm giữ phương tiện. Việc không chấp hành nộp phạt đúng thời hạn cũng có thể khiến người vi phạm bị cưỡng chế thi hành theo quy định pháp luật.
Việc tăng cường xử phạt nguội thông qua hệ thống camera giám sát đang được nhiều địa phương triển khai nhằm nâng cao ý thức chấp hành luật giao thông, giảm thiểu tai nạn và ùn tắc. Người dân được khuyến khích thường xuyên kiểm tra thông tin vi phạm qua các kênh chính thống như website của Cục CSGT hoặc ứng dụng tra cứu để kịp thời xử lý.